数学天堂

数学天堂

助你更好的学习数学
  • 类型:教育
  • 系统:安卓
  • 大小:16.17 MB
  • 时间:2026-05-06
手游简介

起初计算机的发明是为了解决数学计算问题,四十年前我们接触到的第一批电子产品是计算器和电子手表,三十年前个人电脑开始进入家庭,二十年前互联网得到普及,十年前智能手机开始出现,发展到现在全球三十三亿的智能手机用户。几十年来计算机硬件日新月异高速发展,体积越来越小计算速度越来越快,软件开发也是从机器汇编到面向过程、面向对象直到现在的AI深度学习,不断的更新发展功能越来越强大,赋予计算机的智能化程度越来越高。然而我们所要解决的数学计算问题却几十年如一日,始终站在“计算器”的原地裹足不前,成了计算机发展中一个很尴尬的存在。我们在利用计算机解决数学问题时,要么只能做简单的算式计算,要么用复杂的编程解决问题,更或者推导证明只能回到纸上手写推演。那么计算机是不是在数学领域只有这么一点有限的发挥空间呢?

软件功能

1、方程式的符号计算;

2、任意方程式求解;

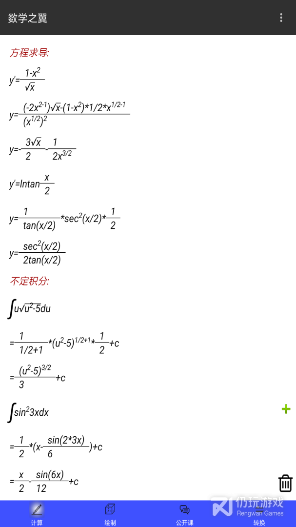
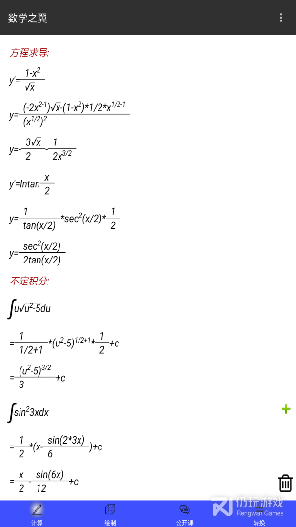
3、高等代数的极限求值、求导数、定积分求值,求微分方程和求不定积分方程;

4、线性代数的行列式求值,矩阵计算;

5、多种形式的参数方程在直角坐标和极坐标下的二维三维曲线绘制;

6、平面几何、立体几何图形的触控绘制和命令行绘制;

7、按数学传统定义格式计算输入输出;

8、实数和复数的科学计算;

9、变量的赋值、查询、代入计算;

10、支持常量、变量、序列变量、数组、坐标等数值类型的定义和计算;

11、实现计算、绘制内容的保存和调入,以及截屏共享功能。

12、常用几何体及变体的定义、绘制,以及长度、面积、体积的计算求值;

13、坐标系内几何体的平移、旋转操作;

14、完善的数制单位转换功能;

15、融合高级语言功能,实现变量类型自动化;

软件特色

1、数学天堂完美实现了加‘+’、减‘-’、乘‘*×’、除‘/÷’、分号‘—’、开方‘√’、指数、序列、括号‘()’‘’、方程组、值域、阶乘‘!’、求和‘∑’、数列、行列式、矩阵、极限、积分等一系列数学符号的书写格式以及定义的计算功能

2、数与运算--描摹数字、清点数数、计算比较等

3、融合高级语言的特性实现变量赋值计算,根据变量在数学领域的使用习惯,对变量赋予特定属性。如: (x,y,z),(xn)、 (γ,θ)

4、支持一元一次到四次方程式和多元方程组的求解

5、逻辑推理--火柴游戏、算式谜、时间推理等

6、实现支持实数、复数的混合计算,以及角度和弧度的自动转换,预定义常量圆周率π,自然常量e,虚数i,无穷数∞

小编评价

1、数学天堂提供科学计算、数值转换、方程求解、几何绘图、函数曲线、定积分求值等功能,具有灵活方便的操作和强大的计算功能

2、数学天堂为小伙伴们的数学学习提供更多便捷服务,让数学公式不再拘泥于纸上~在这里你可以轻松书写方程式,超强数据库支持,各类数学定理、推论、案例也能在这里快速搜索获取,从此搜题更轻松,直接搜索关键词就能得到你想要的题型~各种公式也可以直接在手机上推导出来,为大家的数学学习提供更广阔的领域~

3、数学天堂,数学学习必备的计算助手,支持方程式推导、方程求解、方程曲线绘制、极限求值等多种功能,完美解决数学学习过程中遇到的计算、绘图、格式化输入问题,让数学学习更省心

更新日志

v3.5.2版本更新

1、增加求不定积分方程

2、增强符号运算

3、增强求导方程

4、增加自动符号运算

v2.0.0版本更新

1、复数运算

2、解方程组

3、解一元一次方程到一元四次方程

4、增强保存内容

5、增加侧边浮动按钮

6、统一工具栏

7、支持标准几何模型表面积、体积的计算

8、统一界面工具栏和使用方法

9、坐标空间和公式编辑之间转换添加滑动手势

10、调整功能按钮位置

11、调整帮助搜索和主界面的关系

12、自动为顶点添加名称

13、优化代码和清除BUG

阅读全文
推荐手游
声明:
本站《数学天堂》由"。淡沫"网友提供,仅作为展示之用,版权归原作者所有;
如果侵犯了您的权益,请来信告知,我们会尽快删除。